Adição e subtração de radicais
3 de agosto de 2014 | Autor: antonini
1º Caso: Ocorre quando todos as raízes já se encontram com o mesmo radicando. Exs.:
[singlepic id=2027 w= h= float=center]
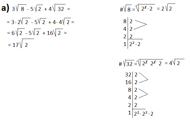
2º Caso: Ocorre quando as raízes não são semelhantes, tendo assim, que serem todas reduzidas ao mesmo índice. Exs:
[singlepic id=2028 w= h= float=center]
[Voltar]
Categoria: Notícias

