Do Zimosterol ao Desmosterol
23 de abril de 2009 | Autor: antonini
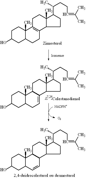
[singlepic id=913 w=320 h=240 float=center]
O ZIMOSTEROL sofre a ação da enzima Isomerase e converte-se em D 7,24-COLESTANODIENOL.
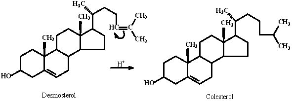
O COLESTANODIENOL sofre uma redução pelo cofator NADPH+ + H+ e transforma-se em DESMOSTEROL, o precursor imediato do COLESTEROL
[singlepic id=909 w=320 h=240 float=center]
Copyright © por Biblioteca Virtual Todos os direitos reservados.
[ Voltar ]

